TRƯỜNG MN 7/5 THỰC HIỆN CÔNG KHAI CHẾ ĐỘ LƯƠNG THÁNG 10/ 2022

Thứ năm - 06/10/2022 21:05
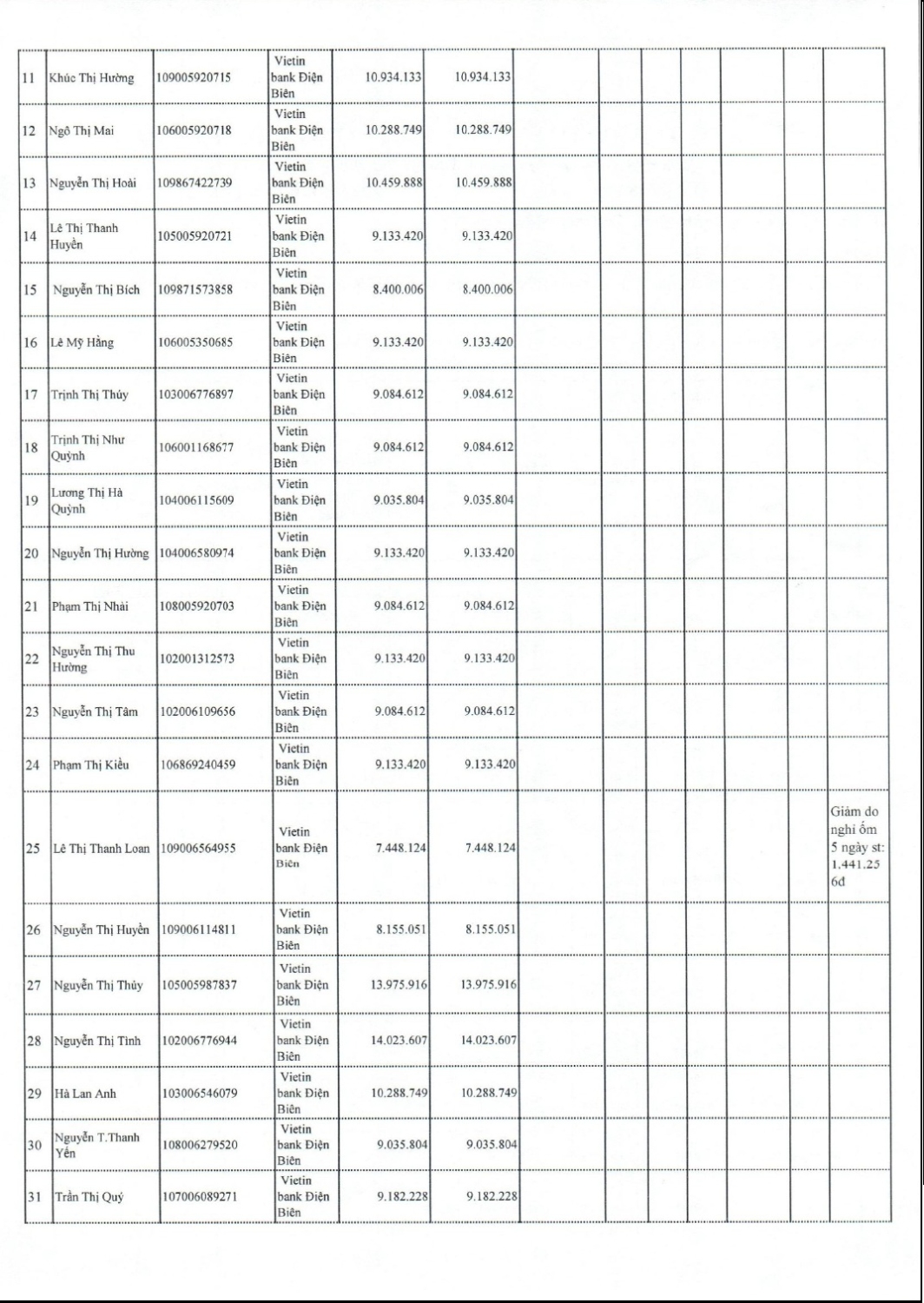
Trường mầm non 7/5 - Thành phố Điện Biên phủ thực hiện nghiêm túc việc chi trả chế độ chính sách tiền lương tháng 10/2022 đầy đủ, kịp thời cho cán bộ giáo viên nhân viên trong trường.

Tổng số điểm của bài viết là: 0 trong 0 đánh giá

  Ý kiến bạn đọc

Những tin mới hơn

Những tin cũ hơn

UBND PHƯỜNG PHỐ ĐIỆN BIÊN PHỦ
TRƯỜNG MẦM NON 7-5
Địa chỉ: Tổ 9, phường Điện Biên Phủ, tỉnh Điện Biên
Số điện thoại: 0945957074 - Website: www.mn75.pgdtpdienbienphu.edu.vn
Bạn đã không sử dụng Site, Bấm vào đây để duy trì trạng thái đăng nhập. Thời gian chờ: 60 giây